中科院微生物研究所的研究人员发表了题为“d-Sedoheptulose-7-phosphate is a common precursor for the heptoses of septacidin and hygromycin B ”的文章,发现庚糖杀菌素中L-吡喃庚糖也是以景天庚酮糖-7-磷酸为前体合成的,而且其前几步反应和革兰氏阴性细菌初级代谢LpS中庚糖的生物合成途径完全一致,催化相关反应的酶可以相互替换。

这一研究成果公布在pNAS杂志上,第一作者为中国科学院微生物研究所唐伟博士和郭正彦副研究员,陈义华研究员为论文通讯作者。

糖是组成生命的基本结构单元之一。不同的糖基可以聚合在一起形成细胞壁等细胞的基本结构,也可以修饰蛋白和不同的小分子化合物,赋予它们不同的特性。微生物天然产物药物中糖基结构十分丰富。而且,糖基和药物分子的成药性息息相关。

分析细菌来源的天然产物中的庚糖可以按结构分为四类:呋喃庚糖、还原型吡喃庚糖、庚糖杀菌素代表的L-吡喃庚糖和潮霉素B代表的D-吡喃庚糖。前两类庚糖的生物合成分别是由转醛酶和甲基转移酶催化形成,机制已经研究得比较清楚,但后两类庚糖的前体和形成机制一直没能得到阐明。

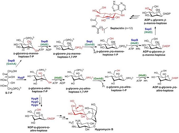
庚糖在微生物中十分重要,因为所有革兰氏阴性细菌的细胞壁脂多糖(Lipopolysaccharide, LpS)结构的核心区都含有两或三个庚糖的寡糖链。这些庚糖是以景天庚酮糖-7-磷酸为前体,通过异构化(GmhA)、1位磷酸化(HldE)、7位磷酸水解(GmhB)、腺苷转移(HldE)和6位羟基异构化(HldD)五步反应得到ADp-L-glycero-β-D-manno-heptose后进一步修饰合成的。

庚糖杀菌素(Septacidin)是革兰氏阳性细菌所产的次级代谢产物,具有抗真菌和抗肿瘤活性,近年来发现还具有诱发细胞免疫原性死亡的活性。这类化合物的衍生物KRN5500已经分别作为抗肿瘤药物和疼痛抑制剂进入临床试验阶段。

最新研究发现庚糖杀菌素中L-吡喃庚糖也是以景天庚酮糖-7-磷酸为前体合成的,而且其前几步反应和革兰氏阴性细菌初级代谢LpS中庚糖的生物合成途径完全一致,催化相关反应的酶可以相互替换。

这一发现说明革兰氏阴性细菌的初级代谢和革兰氏阳性细菌的次级代谢共享了保守的庚糖合成途径,为利用革兰氏阳性细菌次级代谢的多样性来改造革兰氏阴性细菌的细胞壁脂多糖结构打开了大门。这也是首次发现微生物可以利用ADp活化的糖基进行次级次级代谢产物的合成。随后的工作中,研究人员对合成庚糖杀菌素的后修饰过程进行了研究,大致推测了其生物合成的机制。

潮霉素B及其抗性基因是实验室常用的筛选系统。同时,潮霉素B在家禽和家畜饲养中用作抗寄生虫的兽药。在潮霉素B的结构中含有特殊的D-吡喃庚糖结构。根据研究结果推测,潮霉素B中的D-吡喃庚糖也是以景天庚酮糖-7-磷酸为前体,通过衍生而来。

根据这一工作,首次推测了潮霉素B的生物合成途径,部分解析了这一类重要氨基糖苷类化合物的生物合成机制。研究人员在体外酶学研究中,用潮霉素B中催化景天庚酮糖-7-磷酸生产D-glycero-D-altro-heptose-7-p的异构化酶Hygp和大肠杆菌中催化后面三步反应的酶HldE、GmhB 组成杂合体系,发现可以有效地催化生成一种全新的ADp-庚糖ADp-D-glycero-β-D-altro-heptose。利用这种新颖的庚糖来改造大肠杆菌LpS组成和庚糖杀菌素类化合物结构的工作正在进行中。


庚糖杀菌素、潮霉素B及大肠杆菌细胞壁脂多糖中庚糖的生物合成过程。其中,绿色括号内标注的是大肠杆菌参与细胞壁脂多糖中庚糖合成的酶。潮霉素B和大肠杆菌LpS合成的酶可以合作生产新颖的ADp-庚糖。

原文标题:

d-Sedoheptulose-7-phosphate is a common precursor for the heptoses of septacidin and hygromycin B